通知公告  
 
PA视讯集团官网
PA视讯集团官网
  站内搜索
 
站内搜索:
PA视讯集团官网
PA视讯集团官网
 
 
当前位置: 首页>>新闻动态>>正文
 
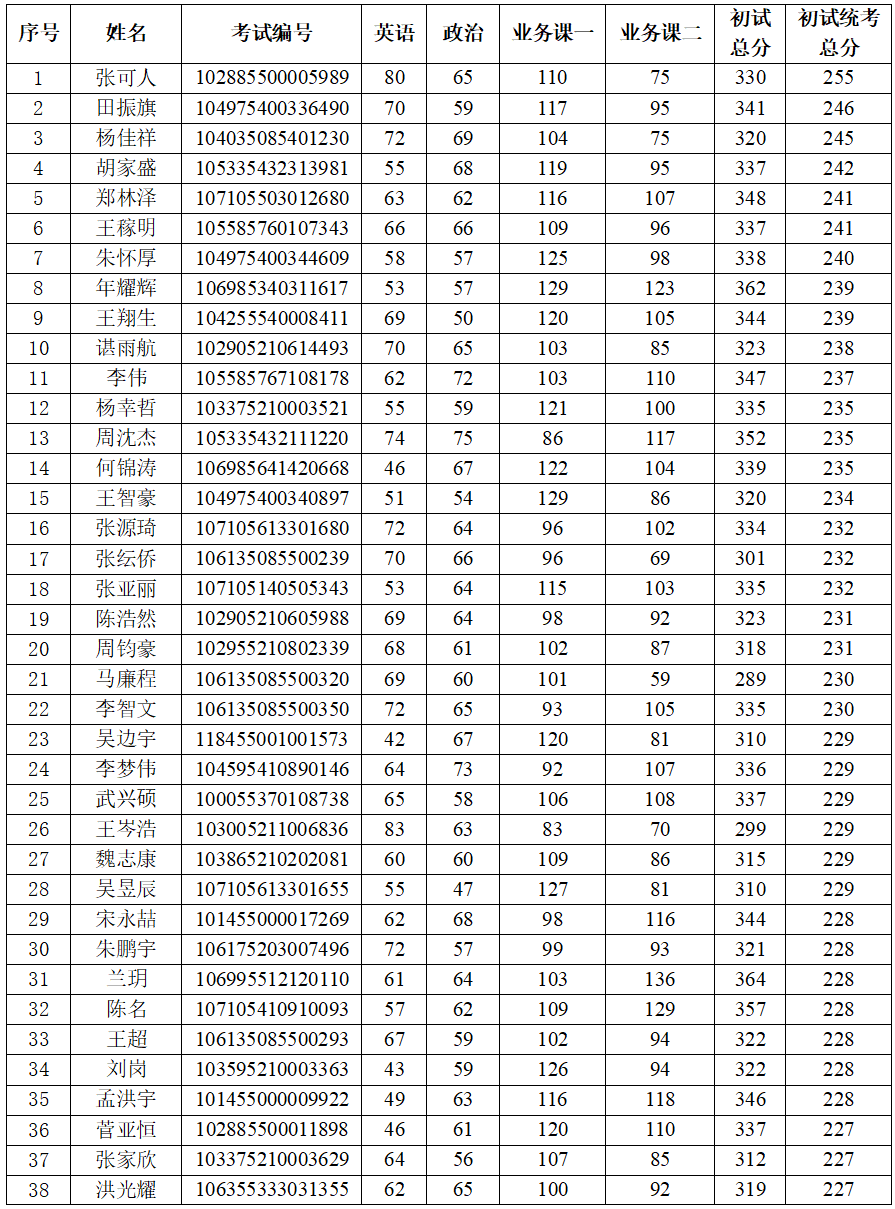
PA视讯集团官网,PA视讯集团官网2025年硕士研究生调剂生(专业型)复试名单遴选结果
2025-04-13 17:10  

备注:复试名单按照《PA视讯集团官网,PA视讯集团官网2025年硕士研究生复试录取工作方案》中第五条遴选,第一优先(一志愿报考专业)、第二优先(本科毕业专业)、第三优先(统考科目总分)进行排序。

PA视讯集团官网

2025年4月13日

关闭窗口
PA视讯集团官网
Baidu
sogou